范绍佳教授团队在北京大气污染边界层结构研究方面取得新进展
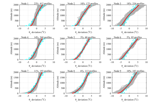
该研究首次将自组织映射(Self-Organizing Maps)这一神经网络算法引入到我国边界层结构研究中。研究表明,该算法具有极佳的特征拾取功能,可以弥补常规气象探空在大气边界层部分数据精度上的不足,从而反映出不同边界层结构的细微差别(图1)。结合污染物浓度分析表明,近地面排放污染物(如PM2.5、NO2等)、高点源排放污染物(如SO2)以及光化学污染物(如O3)对边界层结构变化的响应不一致(图2)。针对3个PM2.5重污染月(2013年1月、2015年12月和2016年12月)的重点分析则表明边界层气象的逐日变化是PM2.5变化的主要驱动因素。在上述3个污染月中,稳定边界层类型出现频率明显偏高(图3),边界层异常驱动的PM2.5增量分别达44.4 μg/m3,22.2 μg/m3和34.6 μg/m3,占各自月份PM2.5总增量的58.3%,46.4%和73.3%。
上述研究结果对于理解华北地区空气污染的气象成因具有重要的科学意义,而引入自组织映射这一探索性尝试将有助于拓宽常规探空资料在我国大气污染研究中的应用。本研究得到国家重点研发计划课题(2017YFC0209606、2016YFC0203305)和国家基金重点项目(41630422)等的支持。

图1 基于虚位温廓线自组织分类的北京边界层类型

图2 不同季节不同边界层类型(4种典型类别:Node 1近中性边界层,Node 3上层稳定边界层,Node 7下层稳定边界层,Node 9 强稳定边界层)的污染物浓度日变化

图3 冬季PM2.5重污染月边界层类型发生频率与5年总体频率的对比
